China 200G 400G DCI supplier

Cable de conexión directa Hairtail+ 800G IB NDR OSFP a 2xOSFP

Características

  • Módulo OSFP compatible con OSFP MSA
  • Velocidad de transmisión de datos de hasta PAM4 106,25 Gbps por canal
  • Habilitar transmisión de 800 Gb/s a 2 x 400 Gb/s
  • Longitud del enlace hasta 3 m
  • Funciones EEPROM integradas  Temperatura de funcionamiento de la caja de 0 °C a +70 °C
  • Cumple con RoHS 2.0
  • Detalle del producto

Cable de conexión directa Hairtail+ 800G IB NDR OSFP a 2xOSFP

Reemplazar Nvidia MCP7Y00-Nxxx

800G IB NDR OSFP Breakout to 2xOSFP Direct Attached Cable

Valores máximos absolutos

Parámetro Símbolo Mín. Típico Máx. Unidad
Tensión de alimentación Vcc 3,13 3,3 3,47 V
Temperatura de almacenamiento Ts -40 85
Temperatura de funcionamiento de la caja Tc 0 70
Humedad Humedad relativa 5 85 %
Velocidad de datos 800 Gbps

Características físicas

Parámetro Símbolo Mín. Típico Máx. Unidad
Longitud L 0.5 3.0 M
AWG 28 25 AWG
Material de la cubierta Red con tecnología HAIRTAIL+, gris plateado

Especificaciones eléctricas

Parámetro Símbolo Mín. Típico Máx. Unidad
Resistencia Rcon 3 ohmios
Resistencia de aislamiento Rins 10 Mohm
Impedancia del cable sin procesar Zca 95 100 110 ohmios
Impedancia del conector acoplado Z acoplado 85 100 115 ohmios

Pérdida máxima de inserción

a 26,56 GHz
SDD21 11 18 1,5 M dB
19,75 2,0 M
25.3 1,5 M

Diferencial a

retorno en modo común pérdida

SCD11/2 2

Para 0,05 ≤f ≤40 GHz, donde f es la frecuencia en GHz

dB

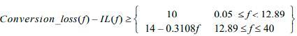
Diferencial a

pérdida de conversión de modo común
SCD21-S DD21

Para 0,05 ≤f ≤40 GHz, donde f es la frecuencia en GHz

dB

Retorno de modo común a modo común pérdida

SCC11/2 2

RLcc (f) ≥1.8

Para 0,05 ≤f ≤40 GHz, donde f es la frecuencia en GHz

dB
COM mínimo COM 3 dB

Descripción de pines

800G IB NDR OSFP Breakout to 2xOSFP Direct Attached Cable

Detalles de la distribución de pines eléctricos para OSFP

800G OSFP to 2x400G OSFP DAC Cable

800G OSFP to 2x400G OSFP DAC Cable

Mapa de memoria del módulo

Compatible con CMIS rev. 5.0 o posteriores revisiones de CMIS y especificaciones del cliente

Dimensiones mecánicas

800G IB NDR OSFP Breakout to 2xOSFP Direct Attached Cable

800G IB NDR OSFP Breakout to 2xOSFP Direct Attached Cable

Extremo P0 Extremos P1 y P2
CALIBRE DE RADIO DE CURVATURA “R” RADIO DE CURVATURA MÍNIMO “L” CALIBRE DE RADIO DE CURVATURA “R” RADIO DE CURVATURA MÍNIMO “L”
28 AWG 10,2 mm 21 mm 81 mm 28 AWG 7,0 mm 14 mm 75 mm
26/25 AWG 12,1 mm 25 mm 85 mm 26/25 AWG 8.3 mm 17 mm 78 mm

Información de pedido

Número de modelo Descripción
DAC-1X2-8/4-M5 DAC OSFP NDR 800G IB a 2xOSFP, Hairtail+, 0,5 m, 28 AWG, gris plateado
DAC-1X2-8/4-1M DAC OSFP NDR 800G IB a 2xOSFP, Hairtail+, 1,0 m, 28 AWG, gris plateado
DAC-1X2-8/4-1M5 800G IB NDR OSFP a 2xOSFP DAC, Hairtail+, 1,5 m, 26/25 AWG, gris plateado
DAC-1X2-8/4-2M DAC OSFP NDR 800G IB a 2xOSFP, Hairtail+, 2,0 m, 26/25 AWG, gris plateado
DAC-1X2-8/4-2M5 800G IB NDR OSFP a 2xOSFP DAC, Hairtail+, 2,5 m, 25 AWG, gris plateado
DAC-1X2-8/4-3M 800G IB NDR OSFP a 2xOSFP DAC, Hairtail+, 3.0 m, 25 AWG, gris plateado.

Referencias

  • IB NDR y IEEE802.3ck
  • OSFP MSA Rev5.0
  • Especificación de interfaz de administración común (CMIS) Rev5.0

¿Quieres saber sobre este producto?

ENVIAR UN Mensaje
dejar un mensaje

Si Usted está interesado en nuestros productos y desea saber más detalles, deje un mensaje aquí, le responderemos tan pronto como nosotros ... puedamos.

Productos relacionados
100G QSFP28 AOC cable 100g QSFP28 AoC Transceptor
hasta 27.952gbps Tasa de datos POR canalEnlace máximo hasta 100m en om3 Cable, y 150m en om4 Cable. alta confiabilidad 850nm VCSEL tecnologíaeléctricamente hot-pluggable bajo consumo de energía bajo EMI diseño
40G QSFP AOC cable 40g QSFP + AoC Transceptor
hasta 4x10gbps velocidad de datosEnlace máximo hasta 100m en om3 Cable, y 150m en om4 Cable. alta confiabilidad 850nm VCSEL tecnologíaeléctricamente hot-pluggable bajo consumo de energía bajo EMI diseño
400G QSFP-DD DOC cable 400g QSFP-DD DAC Transceptor
QSFP-DD MSA, hasta 8x 53.125GB / S, 400g DAC cable alta confiabilidad 850nm VCSEL tecnologíaeléctricamente hot-pluggable bajo consumo de energía bajo EMI diseño
10G QSFP28 AOC cable SFP AoC Transceptor
SFP + 10g Datos, SFP28 25G datos alta confiabilidad 850nm VCSEL tecnologíaeléctricamente hot-pluggable bajo consumo de energía bajo EMI diseño
200G QSFP56 DOC cable 200g QSFP56 DAC Transceptor
QSFP56 MSA, hasta 4x 53.125GB / S, 200G DAC cable alta confiabilidad 850nm VCSEL tecnologíaeléctricamente hot-pluggable bajo consumo de energía bajo EMI diseño
100G QSFP28 DOC cable 100g QSFP28 DAC Transceptor
QSFP28 MSA, hasta 4x 25GB / S, 100g DAC cable alta confiabilidad 850nm VCSEL tecnologíaeléctricamente hot-pluggable bajo consumo de energía bajo EMI diseño
40G QSFP+ DOC cable 40g QSFP + DAC Transceptor
QSFP28 MSA, hasta 4x 10GB / S, 40g DAC cable alta confiabilidad 850nm VCSEL tecnologíaeléctricamente hot-pluggable bajo consumo de energía bajo EMI diseño
10G SFP+ DOC cable SFP DAC Transceptor
SFP + MSA, 10G DAC cable; SFP28 MSA, 25G DAC cable alta confiabilidad 850nm VCSEL tecnologíaeléctricamente hot-pluggable bajo consumo de energía bajo EMI diseño
dejar un mensaje
dejar un mensaje
Si Usted está interesado en nuestros productos y desea saber más detalles, deje un mensaje aquí, le responderemos tan pronto como nosotros ... puedamos.

Hogar

Productos

Acerca de

contacto